HOW TO USE DIET BREAKS AND REFEEDS FOR EASIER FAT LOSS

EAT MORE - LOSE MORE

Elevated-Coaching-Systems_Blog_08-3

Can eating more food by taking a diet break or refeed during a fat loss phase really help you make losing body fat easier?

When done properly, yes. Most people just don't understand how to apply these strategies properly for fat loss. 

Today’s blog teaches you the science behind diet breaks and refeeds, and how we use them with online clients to achieve easier fat loss.

WHAT IS A REFEED?

A refeed is 1-3 days of taking your calories from a deficit (below maintenance) back up to maintenance. This is typically done by increasing calories almost exclusively via carbs.

WHAT IS A DIET BREAK?

A diet break is essentially the bigger brother to refeeds - 4 days to (usually) 2-3 weeks where calories are returned to maintenance levels. A large portion of this calorie increase can come from carbs, but it’s also more common for more protein and/or fat to be added back in during this time.

WHY TAKE DIET BREAKS & REFEEDS?

The primary reason you'll hear people promote diet breaks is to prevent metabolic adaptation. 

See, your body has four different ways it burns calories: 

1. Basal Metabolic Rate (BMR) - Your BMR is the number of calories your body burns just to stay alive. Generally, the heavier you are, the higher your BMR. 

2. Thermic Effect of Food (TEF) - Calories burned during digestion. It takes energy to turn the food you consume into energy. This is TEF. 

3. Non-Exercise Activity Thermogenesis (N.E.A.T.) - All the calories you burn in your everyday movement outside the gym. 

4. Thermic Effect of Exercise (TEE) - Calories burned lifting weights, doing cardio, etc. 

These four mechanisms make up your metabolism. 

As you eat fewer calories and get leaner, your metabolism adapts to prevent you from withering away into nothing: 

→ Your body is smaller, so BMR decreases 

→ You're eating less food, so TEF decreases (given macro composition stays the same) 

→ TEE decreases, because it takes fewer calories to move your smaller body 

→ NEAT generally decreases, because you feel lethargic due to lack of calories 

Plus, levels of a hormone called Leptin also decrease. This leads to an increase in hunger, and less energy expenditure. 

As you eat more and gain more fat, the opposite happens - metabolism increases, hunger decreases. 

This up-regulation and down-regulation of your metabolism when dieting is called metabolic adaptation. 

d876eab82a7ecd89d268608d33a50091

The thinking behind diet breaks and refeeds is... 

If eating more up-regulates your metabolism and hormones, then taking diets breaks and refeeds means you'll arrive at the end of the diet with a faster metabolism and better hormones. 

Which sounds pretty great, right?

The question is... 

Does it really work like that?


THE SCIENCE BEHIND REFEEDS & DIET BREAKS

The reality is, there hasn't been a ton of research on diet breaks or refeeds in the sense we’re talking about here. 

But a few we have that do stand out: 

 → The recent ICECAPS trial on one week diet breaks by Jackson Peos and colleagues seemed to show they're an effective tool to decrease hunger and desire to eat:

fce8e6a872d15dd486f29e1616af800b

A decrease in hunger of course means that it will be easier to stick to your diet again once you get back to the Fat Loss Phase. 

It may seem like taking a step back to take a diet break... but really, they'll usually allow you to be done dieting sooner, because you're able to stick to the plan more consistently after taking a pit stop, rather than trying to grind it out. 

The people you know who have been dieting for years, and still haven't achieved the results they want are also the ones that refuse to take a diet break.  

Along with the aforementioned ICECAP trail, we have a few other studies that are pretty promising. 

→ This study from 2003 set out to prove that longer diet breaks would be detrimental to weight loss.  

However, they found out there wasn’t a statistically significant difference in weight loss between groups that continuously dieted and those that took diet breaks, for the same period of time. (So the diet break group spent less total time dieting, but lost the same amount of weight as those who dieted non-stop.) 

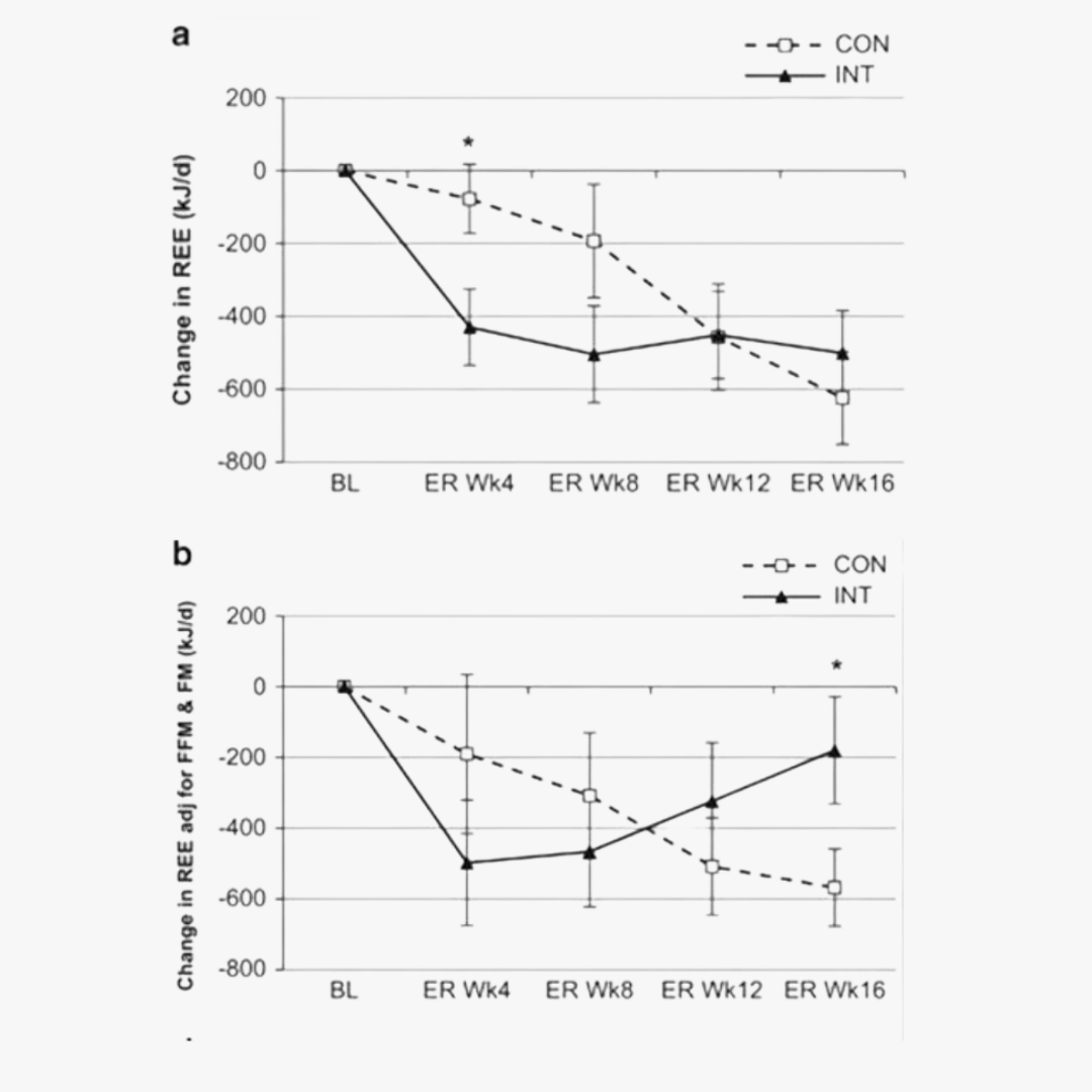
→  The Matador Study. This study had two groups on a diet.

Group 1: Followed the diet for 16 weeks straight, in a 33% calorie deficit.  

Group 2: Dieted in a 33% calorie deficit, followed by two weeks at maintenance calories. They alternated between the two until they had completed 16 total weeks of dieting. (So it took them twice as long.)  

At the end of the study, the diet break group lost more fat, more weight, and seemed to see less adaptation in their metabolisms.

c9e3c4c9867c4fa17bde506b475a55ca

SCIENCE TRANSLATOR 🤓  

As you can see from the graph above (taken from the study), resting energy expenditure (REE) remained higher in the intermittent dieting/diet break group (INT) than the continuous diet group (CON). 

→ The Diet Breaks/Diet Refeeds Study. This study took two groups through a 7 week diet.  

 Group 1: Ate in a 25% calorie deficit, for 7 weeks straight.  

Group 2: Ate in a 35% calorie deficit 5 days per week, but every weekend increased calories to maintenance levels via carbohydrates (so the weekly deficit for both groups was equated). They followed this pattern for 7 weeks.

Long story short, the study showed the continuous group and the reefed group lost the same amount of fat mass. 

So the research currently shows us that refeeds and diet breaks probably aren’t “metabolic magic”... but they can be an effective tool to have in our fat loss toolbelt. 

HOW TO USE REFEEDS FOR FAT LOSS

Refeeds are a tool to help us train harder and mitigate some of that mental fatigue that comes along with dieting. 

As mentioned, a refeed is usually 1-3 days where calories are increased to maintenance levels almost exclusively carbs. 

With an increase in carbs on a refeed day, we’ll see: 

Refilled glycogen stores ​​(think: carbs that are stored in your muscle that help fuel your training).  
An improvement in training performance over the next 24 hours, due to the increase in available muscle glycogen. 
An improved mood & sense of well-being.
A potential drop in water retention. The stress dieting places on the body can cause levels of the stress hormone cortisol to rise. Along with increased cortisol levels can come increased water retention. A sudden influx of calories can allow your body to “relax”, cortisol levels drop, and water is flushed out. 

REFEEDS IN APPLICATION

When it comes to diet breaks and refeeds, the estimated length of your diet is very important. 

For someone who had a smaller amount of weight to lose (5-25 lbs) and could realistically lose said weight in 8-12 weeks, there’s likely not a reason to worry about implementing longer diet breaks. It’s likely more beneficial in this case to just get the diet over with, so that you can get back to eating at maintenance for good.  

However, with shorter diet timelines like this (<16 weeks), refeeds can be very useful.  

The most common times we implement refeeds with online clients: 

1: When we start to see motivation or energy decrease. As you get leaner, it is normal to have a bit less energy.  

Calories are energy, so your body is literally “taking in less energy” when you’re dieting. 

That said, when energy or motivation are tanking (which can lead to adherence issues), a 1-3 day refeed is a great way to allow a client to maintain the results they’ve achieved so far, and take a few days to recharge before getting back to the diet.  

2. After hitting weight loss targets. Many goal-oriented clients do well knowing… 

“I just have to hit this weight loss target before I can take a 3 day refeed.” 

This is an effective way to split a diet up into manageable chunks (i.e. take a 3 day refeed every 3 weeks, at intervals of 5 lbs lost), rather than a brutally long journey (i.e. diet continuously until you’ve lost 30 lbs). 

3. During a more challenging week of training. Even when dieting, you should still be training like you’re trying to build muscle.  

This means that there should still be very challenging days/weeks of training within your program. 

For clients that are focused on body recomposition (losing fat and building muscle at the same time) instead of just fat loss (where this would be less applicable), we’ll often implement a 2-3 day refeed during an especially hard week of training every 4-5 weeks.

Weeks like this are when your body’s calorie needs in order to actually recover and grow new muscle tissue will be highest, so pairing a refeed with these weeks will aid the client’s ability to continue to see a body recomposition effect. 

HOW TO USE DIET BREAKS FOR FAT LOSS

As mentioned, a diet break is 4 days to (usually) 2-3 weeks where calories are returned to maintenance levels. 

Protein should stay at .8-1.5g/lb (don't decrease your current intake).  

Just like with refeeds, increasing carbs will refill glycogen stores. So it's likely most optimal to increase calories to maintenance almost exclusively via carbs, while keeping protein and fat where they were on the diet. 

We don’t want you losing weight (a.k.a. dieting) during this time. Even if you feel better, you’ll want to continue to increase calories if you are still losing weight, or you won’t be getting all of the benefits of a diet break. 

DIET BREAKS IN APPLICATION

As of now (similar to refeeds), it doesn’t seem that diet breaks are “metabolic magic”.  

The MATADOR study seemed to show a slightly better retention in metabolic rate for those who took diet breaks (their metabolisms were burning ~100 calories more per day vs. those that didn’t take diet breaks), but we have yet to find a HUGE difference in metabolism for those that do vs. don’t take diet breaks. 

That said, diet breaks are very applicable for clients that are new to training in a smart, science-based manner, and are very capable of (for a few months) building muscle and losing body fat simultaneously (a.k.a body recomposition).  

After 3-4 months of the recomposition process, typically results will start to slow, as we can only have “the best of both worlds” (losing fat and building muscle) at the same time before we need to choose to focus on pushing your body harder in one specific direction. 

So after the 3-4 month mark, it’s often helpful to push clients like this into a 1-2 month diet break.  

The increase in food dramatically improves your ability to train hard, recover better, and add lean muscle tissue to your frame. 

Plus, after 3-4 months of fat loss, most people are getting burned out on dieting. 

But after 1-2 months focusing on eating more food and building muscle, most people will feel mentally rejuvenated and ready to finish their diet strong (and now have more lean muscle to boot).

So essentially, this client would be shifting from 3-4 months focusing on body recomposition → 1-2 months focused on building → 2-3 months focused on fat loss. 

At the end of this process, said client would likely be as lean as they had set out to be, but would also have built a considerable amount of lean muscle tissue. So as a whole, their physiques would look much different. 

The other area diet breaks are most applicable is with someone primarily focused on fat loss, but with a large amount to lose.

Again, dieting just becomes very physically and mentally taxing after 2-4 months. That said, a client with the goal of losing 100 lbs probably won’t want to spend longer than necessary dieting (as they’ll already have a very long diet timeline), which is where 1-2 week diet breaks become more applicable. 

Here, we’re typically splitting up 8-12 week fat loss phases with 1-2 week diet breaks. 

Trying to diet much longer than this usually leads to adherence issues (which is why you know so many people that are always dieting, but never get any leaner).  

This allows a client with a large amount of weight to lose to still spend most of their time dieting and reach their goal relatively quickly, but also makes the diet as a whole seem more manageable, and allows the client to reap the physical and mental benefits of diet breaks. 

So splitting things up like this and taking diet breaks actually allows you as a client to reach your desired fat loss result quicker than if you had tried to diet straight through.  

If you're ready to take the guesswork out of achieving your best physique ever, click here now to apply for Online Coaching with our team. You'll get the structure, accountability, and expert guidance you need through every step of the process.

Elevated-Coaching-Systems_Blog_04

 

WRITTEN FOR YOU BY JEREMIAH BAIR

I love simplifying the mysterious art and science of training and looking like it. I’ve been on my own journey, and I share what I’ve learned so you can get there faster, on my Podcast and on Instagram.

Elevated-Coaching-Systems-Logo_White-Gold

© Copyright 2021 Elevated Coaching Systems
Website designed and built by Metcon Creative